Номер 7. Десятичные дроби. Проверь себя - ГДЗ Математика 5 класс. Мерзляк, Полонский. Учебник. Страница 228

Вернуться к содержанию учебника

Десятичные дроби. Проверь себя. Страница 228

4 5 6 7 8 9 10

Вопрос

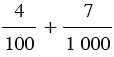
Чему равно значение выражения ?

А) 0,047            Б) 0,1047            В) 0,407            Г) 0,47

Подсказка

Вспомните:

  1. Разрядные единицы десятичных дробей.
  2. Сложение десятичных дробей.

Ответ

4 5 6 7 8 9 10


Вернуться к содержанию учебника