Номер 931 - ГДЗ Алгебра 7 класс. Мерзляк, Полонский. Учебник. Страница 184

Вернуться к содержанию учебника

Страница 184

928 929 930 931 932 933 934

Вопрос

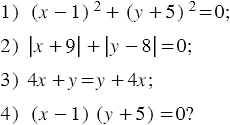
Что представляет собой график уравнения:

Подсказка

Ответ


Вернуться к содержанию учебника