Номер 1 - ГДЗ Алгебра 8 класс. Мерзляк, Полонский. Учебник. Страница 7

Вернуться к содержанию учебника

Упражнения § 1. Страница 7

4 5 6 1 2 3 4

Вопрос

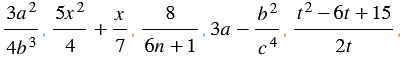
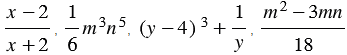
Какие из выражений являются:

1) целыми выражениями;

2) дробными выражениями;

3) рациональными дробями?

Подсказка

Вспомните:

  1. Какие выражения называют целыми.
  2. Какие выражения называют дробными, что называют рациональной дробью.
  3. Что называют многочленом.
  4. Что называют одночленом.

Ответ

4 5 6 1 2 3 4


Вернуться к содержанию учебника