Номер 100 - ГДЗ Алгебра 8 класс. Мерзляк, Полонский. Учебник. Страница 26

Вернуться к содержанию учебника

Упражнения § 4. Страница 26

2 98 99 100 101 102 103

Вопрос

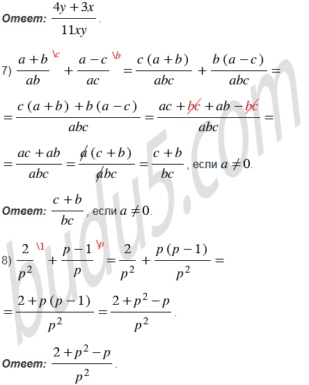
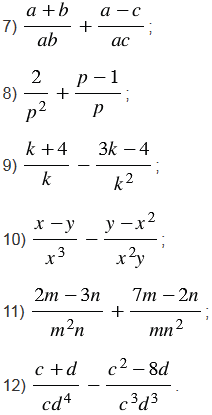
Упростите выражение:

Подсказка

Вспомните:

  1. Какую дробь называют рациональной.
  2. Что называют одночленом.
  3. Что называют многочленом.
  4. Основное свойство рациональной дроби.
  5. Сложение и вычитание рациональных дробей с разными знаменателями.
  6. Сложение и вычитание рациональных дробей с одинаковыми знаменателями.
  7. Подобные слагаемые, правила раскрытия скобок.
  8. Наименьшее общее кратное.
  9. Степень с натуральным показателем.
  10. Свойства степени с натуральным показателем.
  11. Распределительное свойство умножения.
  12. Умножение одночлена на многочлен.
  13. Противоположные числа.
  14. Правила сложения рациональных чисел.
  15. Правило вычитания рациональных чисел.
  16. Правила умножения рациональных чисел.

Ответ


Вернуться к содержанию учебника