Номер 164 - ГДЗ Алгебра 8 класс. Мерзляк, Полонский. Учебник. Страница 40

Вернуться к содержанию учебника

Упражнения § 5. Страница 40

161 162 163 164 165 166 167

Вопрос

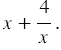
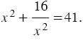
Дано: Найдите значение выражения

Подсказка

Ответ


Вернуться к содержанию учебника