Номер 170 - ГДЗ Алгебра 8 класс. Мерзляк, Полонский. Учебник. Страница 40

Вернуться к содержанию учебника

Упражнения § 5. Страница 40

167 168 169 170 171 172 173

Вопрос

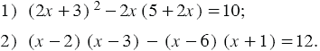
Решите уравнение:

Подсказка

Ответ


Вернуться к содержанию учебника