Номер 183 - ГДЗ Алгебра 8 класс. Мерзляк, Полонский. Учебник. Страница 45

Вернуться к содержанию учебника

Упражнения § 6. Страница 45

180 181 182 183 184 185 186

Вопрос

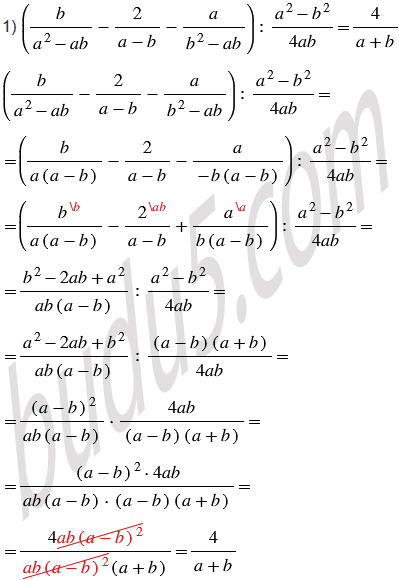
Докажите тождество:

Подсказка

Ответ


Вернуться к содержанию учебника