Номер 12 - ГДЗ Алгебра 8 класс. Мерзляк, Полонский. Учебник. Страница 50

Вернуться к содержанию учебника

Задание №2 "Проверь себя". Страница 50

9 10 11 12 1 2 3

Вопрос

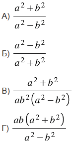
Упростите выражение .

Подсказка

Вспомните:

  1. Что называют тождественным преобразованием.
  2. Какую дробь называют рациональной.
  3. Деление и дроби.
  4. Порядок выполнения действий.
  5. Сложение и вычитание рациональных дробей с разными знаменателями.
  6. Сложение и вычитание рациональных дробей с одинаковыми знаменателями.
  7. Умножение и деление рациональных дробей.
  8. Подобные слагаемые, правила раскрытия скобок.
  9. Степень с натуральным показателем.
  10. Свойства действий с рациональными числами.

Ответ

9 10 11 12 1 2 3


Вернуться к содержанию учебника