Номер 44 - ГДЗ Алгебра 8 класс. Мерзляк, Полонский. Учебник. Страница 16

Вернуться к содержанию учебника

Упражнения § 2. Страница 16

41 42 43 44 45 46 47

Вопрос

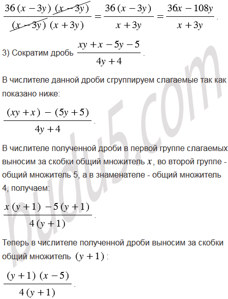
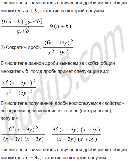
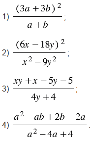
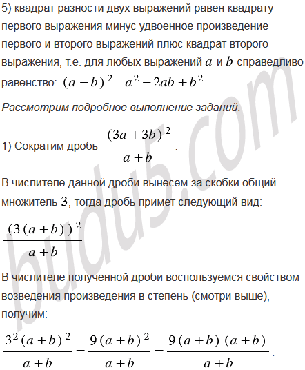
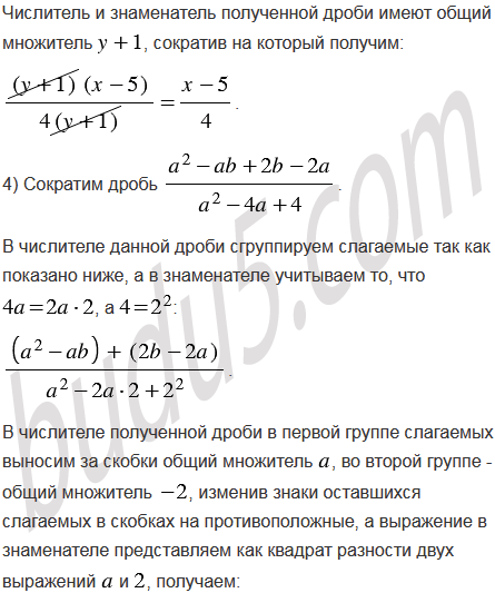
Сократите дробь:

Подсказка

Ответ


Вернуться к содержанию учебника