Номер 3 - ГДЗ Алгебра 8 класс. Мерзляк, Полонский. Учебник. Страница 33

Вернуться к содержанию учебника

Задание №1 "Проверь себя". Страница 33

142 1 2 3 4 5 6

Вопрос

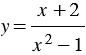
При каких значениях аргумента функция не определена?

А) 1; 1

Б) 1

В) 2; 1; 1

Г) 2; 1

Подсказка

Вспомните:

  1. Что называют функцией, ее аргументом.
  2. Что называют допустимыми значениями переменной.
  3. Степень с натуральным показателем.

Ответ

142 1 2 3 4 5 6


Вернуться к содержанию учебника