Номер 8 - ГДЗ Алгебра 8 класс. Мерзляк, Полонский. Учебник. Страница 33

Вернуться к содержанию учебника

Задание №1 "Проверь себя". Страница 33

5 6 7 8 9 10 11

Вопрос

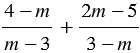
Выполните сложение: .

Подсказка

Ответ

5 6 7 8 9 10 11


Вернуться к содержанию учебника