Номер 235 - ГДЗ Алгебра 8 класс. Мерзляк, Полонский. Учебник. Страница 62

Вернуться к содержанию учебника

Упражнения § 8. Страница 62

232 233 234 235 236 237 238

Вопрос

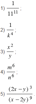
Замените дробь степенью с целым отрицательным показателем или произведением степеней:

Подсказка

Вспомните:

  1. Чему равно для любого отличного от нуля числа и натурального числа .
  2. Умножение рациональных дробей.

Ответ


Вернуться к содержанию учебника