Номер 357 - ГДЗ Алгебра 8 класс. Мерзляк, Полонский. Учебник. Страница 92

Вернуться к содержанию учебника

Упражнения § 11. Страница 92

354 355 356 357 358 359 360

Вопрос

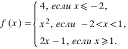
Функция задана следующим способом:

1) Найдите .

2) Постройте график данной функции.

Подсказка

Ответ


Вернуться к содержанию учебника