Номер 361 - ГДЗ Алгебра 8 класс. Мерзляк, Полонский. Учебник. Страница 93

Вернуться к содержанию учебника

Упражнения § 11. Страница 93

358 359 360 361 362 363 364

Вопрос

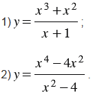
Постройте график функции:

Подсказка

Вспомните:

  1. Координаты точки.
  2. Что называют функцией.
  3. Что называют графиком функции.
  4. Функция и ее график (парабола).
  5. Степень с натуральным показателем.
  6. Свойства степени с натуральным показателем
  7. Разложение многочленов на множители.
  8. Рациональные дроби (допустимые значения переменной).
  9. Сокращение рациональных дробей.

Ответ


Вернуться к содержанию учебника