Номер 368 - ГДЗ Алгебра 8 класс. Мерзляк, Полонский. Учебник. Страница 94

Вернуться к содержанию учебника

Упражнения § 11. Страница 94

365 366 367 368 369 370 371

Вопрос

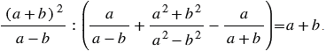
Докажите тождество:

Подсказка

Вспомните:

  1. Что называют тождеством, тождественным преобразованием.
  2. Какую дробь называют рациональной.
  3. Что называют одночленом.
  4. Что называют многочленом.
  5. Порядок выполнения действий.
  6. Сложение и вычитание рациональных дробей с разными знаменателями.
  7. Сложение и вычитание рациональных дробей с одинаковыми знаменателями.
  8. Умножение и деление рациональных дробей.
  9. Подобные слагаемые, правила раскрытия скобок.
  10. Распределительное свойство умножения.
  11. Разложение многочленов на множители.
  12. Умножение одночлена на многочлен.
  13. Разность квадратов двух выражений.
  14. Квадрат суммы двух выражений.
  15. Противоположные числа.
  16. Правила сложения рациональных чисел.
  17. Правило вычитания рациональных чисел.

Ответ


Вернуться к содержанию учебника