Номер 369 - ГДЗ Алгебра 8 класс. Мерзляк, Полонский. Учебник. Страница 94

Вернуться к содержанию учебника

Упражнения § 11. Страница 94

366 367 368 369 370 371 372

Вопрос

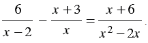
Решите уравнение:

Подсказка

Ответ


Вернуться к содержанию учебника