Номер 648 - ГДЗ Алгебра 8 класс. Мерзляк, Полонский. Учебник. Страница 163

Вернуться к содержанию учебника

Упражнения §19. Страница 163

645 646 647 648 649 650 651

Вопрос

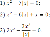
Решите уравнение:

Подсказка

Ответ


Вернуться к содержанию учебника