Номер 651 - ГДЗ Алгебра 8 класс. Мерзляк, Полонский. Учебник. Страница 163

Вернуться к содержанию учебника

Упражнения §19. Страница 163

648 649 650 651 652 653 654

Вопрос

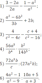
Выполните действия:

Подсказка

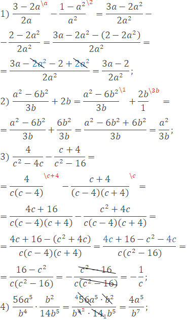
Ответ


Вернуться к содержанию учебника