Номер 154 - ГДЗ Алгебра 8 класс. Мерзляк, Полонский. Учебник. Страница 38

Вернуться к содержанию учебника

Упражнения § 5. Страница 38

151 152 153 154 155 156 157

Вопрос

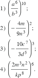
Представьте в виде дроби выражение:

Подсказка

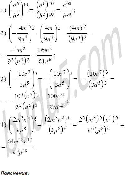
Ответ


Вернуться к содержанию учебника